結合實際的電路分析一下電感的充放電時間常數。

電感的充放電時間常數
電感的充放電電路及時間曲線如圖 1 所示。

圖 1 電感基本充放電電路
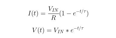
LR 電路中,應對外部激勵(直流)變化,電感的電壓和電流達到穩(wěn)定狀態(tài)需要一定的過程,其波形符合指數變化:電感電流以指數曲線上升,電壓由最大值 Vin 處以指數曲線衰減。

其中,
τ = L/R
為時間常數。經歷 5 個τ后,電感的電壓和電流趨于穩(wěn)定,特別對于直流來說,此時電感相當于短路,電流達到最大 Imax=V/R。
若此時關斷開關,由于不存在回路,則電感的電流也就不存在,存儲在電感中的能量以磁場能的形式存儲在電感中。
串聯(lián)電阻對電感時間常數的影響
串聯(lián)不同阻值的電阻產生的電感充放電時間常數如圖 2 所示。

圖 2 串聯(lián)電阻對電感充放電時間常數的影響
根據電感的充放電時間常數可知,串聯(lián)電阻阻值越大,充放電時間常數就越小。
對于電感而言,指數上升曲線的時間常數定義為電流達到期望值 63%所用的時間,指數衰減曲線的時間常數定義為其值降為初始值 37%時所用的時間。
〈烜芯微/XXW〉專業(yè)制造二極管,三極管,MOS管,橋堆等,20年,工廠直銷省20%,上萬家電路電器生產企業(yè)選用,專業(yè)的工程師幫您穩(wěn)定好每一批產品,如果您有遇到什么需要幫助解決的,可以直接聯(lián)系下方的聯(lián)系號碼或加QQ/微信,由我們的銷售經理給您精準的報價以及產品介紹
聯(lián)系號碼:18923864027(同微信)
QQ:709211280

