引言
傳統的用于電子設備前端的二極管整流器,作為一個諧波電流源,干擾電網線電壓,產生向四周輻射和沿導線傳播的電磁干擾,導致電源的利用效率下降。近幾年來,為了符合國際電工委員會61000-3-2的諧波準則,功率因數校正電路正越來越引起人們的注意。功率因數校正技術從早期的無源電路發展到現在的有源電路;從傳統的線性控制方法發展到非線性控制方法,新的拓撲和技術不斷涌現。本文歸納和總結了現在有源功率因數校正的主要技術和發展趨勢。
1 功率因數(PF)的定義
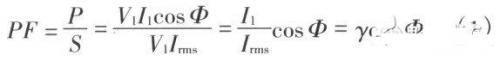
功率因數(PF)是指交流輸入有功功率(P)與輸入視在功率(S)的比值。即


式中:I1為輸入基波電流有效值;
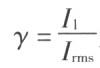
為輸入電流失真系數;Irms為輸入電流有效值;
cosφ為基波電壓與基波電流之間的相移因數。
可見PF由γ和cosφ決定。cosφ低,則表示用電電器設備的無功功率大,設備利用率低,導線、變壓器繞組損耗大。γ值低,則表示輸入電流諧波分量大,對電網造成污染,嚴重時,對三相四線制供電還會造成中線電位偏移,致使用電電器設備損壞。由于常規整流裝置使用晶閘管或二極管,整流器件的導通角遠小于180°,從而產生大量諧波電流成分,而諧波電流不做功,只有基波電流做功,功率因數很低。全橋整流器電壓和電流波形圖如圖1所示。


2 功率因數校正實現方法
由式(1)可知,要提高功率因數有兩個途徑,即使輸入電壓、輸入電流同相位;使輸入電流正弦化。
利用功率因數校正技術可以使交流輸入電流波形完全跟蹤交流輸入電壓波形,使輸入電流波形呈純正弦波,并且和輸入電壓同相位,此時整流器的負載可等效為純電阻。
功率因數校正電路分為有源和無源兩類。無源校正電路通常由大容量的電感、電容組成。雖然無源功率因數校正電路得到的功率因數不如有源功率因數校正電路高,但仍然可以使功率因數提高到o.7~0.8,因而在中小功率電源中被廣泛采用。有源功率因數校正電路自上世紀90年代以來得到了迅速推廣。它是在橋式整流器與輸出電容濾波器之間加入一個功率變換電路,使功率因數接近1.有源功率因數校正電路工作于高頻開關狀態,體積小、重量輕,比無源功率因數校正電路效率高。本文主要討論有源功率因數校正方法。
3 有源功率因數校正方法分類
3.l 按有源功率因數校正拓撲分類
3.1.1 降壓式
因噪聲大,濾波困難,功率開關管上電壓應力大,控制驅動電平浮動,很少被采用。
3.1.2 升/降壓式
須用二個功率開關管,有一個功率開關管的驅動控制信號浮動,電路復雜,較少采用。
3.1.3 反激式
輸出與輸入隔離,輸出電壓可以任意選擇,采用簡單電壓型控制,適用于150W以下功率的應用場合。典型電路如圖2所示。


3.1.4 升壓式(Boost)
簡單電流型控制,戶F值高,總諧波失真(THD)小,效率高,但是輸出電壓高于輸入電壓。典型電路如圖3所示。適用于75~2000W功率范圍的應用場合,應用最為廣泛。它具有以下優點:電路中的電感L適用于電流型控制;由于升壓型APFC的預調整作用在輸出電容器C上保持高電壓,所以電容器C體積小、儲能大;在整個交流輸入電壓變化范圍內能保持很高的功率因數;當輸入電流連續時,易于EMI濾波;升壓電感L能阻止快速的電壓、電流瞬變,提高了電路工作可靠性。


3.2 按輸入電流的控制原理分類
3.2.1 平均電流型
工作頻率固定,輸入電流連續(CCM),波形圖如圖4(a)所示。TI公司的UC3854就工作在平均電流控制方式。


這種控制力式的優點是:恒頻控制;工作在電感電流連續狀態,開關管電流有效值小、EMI濾波器體積小;能抑制開關噪聲;輸入電流波形失真小。
主要缺點是:控制電路復雜,須用乘法器和除法器,需檢測電感電流,需電流控制環路。
3.2.2 滯后電流型
工作頻率可變,電流達到滯后帶內發生功率開關通與斷操作,使輸入電流上升、下降。電流波形平均值取決于電感輸入電流,波形圖如圖4(b)所示。
3.2.3 峰值電流型
工作頻率變化,電流不連續(DCM),波形圖如圖4(c)所示。DCM采用跟隨器方法具有電路簡單、易于實現的優點,似存在以下缺點:PF和輸入電壓Vin與輸出電壓V0的比值有關,即當Vin變化吋,PF值也將發生變化,同時輸入電流波形隨Vin/Vo的值的加大而使THD變大;開關管的峰值電流大(在相同容量情況下,DCM中通過開關器件的峰值電流為CCM的2倍),從而導致開關管損耗增加。所以在大功率APFC電路中,常采用CCM方式。
3.2.4 電壓控制型
工作頻率固定,電流不連續,采用固定占空比的方法,電流自動跟隨電壓。這種控制方法一般用在輸出功率比較小的場合,另外在單級功率因數校正中多采用這種方法,后面會介紹。波形圖如圖4(d)所示。
3.3 其他控制方法
3.3.1 非線性載波控制技術
非線性載波控制(NLC)不需要采樣電壓,內部電路作為乘法器,即載波發生器為電流控制環產生時變參考信號。這種控制方法工作在CCM模式,可用于Flyback,Cuk,Boost等拓撲中,其調制方式有脈沖前沿調制和脈沖后沿調制。
3.3.2 單周期控制技術
單周期控制原理圖如圖5所示,是一種非線性控制技術。該控制方法的突出特點是,無論是穩態還是暫態,它都能保持受控量(通常為斬波波形)的平均值恰好等于或正比于給定值,即能在一個開關周期內,有效地抑制電源側的擾動,既沒有穩態誤差,也沒有暫態誤差,這種控制技術可廣泛應用于非線性系統的場合,不必考慮電流模式控制中的人為補償。
3.3.3 電荷泵控制技術
利用電流互感器檢測開關管的開通電流,并給檢測電容充電,當充電電壓達到控制電壓時關閉開關管,并同時放掉檢測電容上的電壓,直到下一個時鐘脈沖到來使開關管再次開通,控制電壓與電網輸入電壓同相位,并按正弦規律變化。由于控制信號實際為開關電流在一個周期內的總電荷,因此稱為電荷控制方式
4 功率因數校正技術的發展趨勢
4.1 兩級功率因數校正技術的發展趨勢
目前研究的兩級功率因數校正,一般都是指Boost PFC前置級和后隨DC/DC功率變換級。如圖6所示。對Boost PFC前置級研究的熱點有兩個,一是功率電路進一步完善,二是控制簡單化。如果工作在PWM硬開關狀態下,MOSFET的開通損耗和二極管的反向恢復損耗都會相當大,因此,最大的問題是如何消除這兩個損耗,相應就有許多關于軟開關Boost變換器理論的研究,現在具有代表性的有兩種技術,一是有源軟開關,二是無源軟開關即無源無損吸收網絡。




有源軟開關采用附加的一些輔助開關管和一些無源的電感電容以及二極管,通過控制主開關管和輔助開關管導通時序來實現ZVS或者ZCS.比較成熟的有ZVT—Boost,ZVS—Boost,ZCS—Boost電路等。雖然有源軟開關能有效地解決主開關管的軟開關問題,但輔助開關管往往仍然是硬開關,仍然會產生很大損耗,再加上復雜的時序控制,使變換器的成本增加,可靠性降低。
無源無損吸收則是采用無源元件來減小MOSFET的dv/dt和二極管的dv/dt,從而減小開通損耗和反向恢復損耗。它的成本低廉,不需要復雜的控制,可靠性較高。
除了軟開關的研究之外,另一個人們關心的研究方向是控制技術。曰前最為常用的控制方法是平均電流控制,CCM/DCM臨界控制和滯后控制3種方法。但是新的控制方法不斷出現,其中大部分是非線性控制方法,比如非線性載波技術和單周期控制技術。這些控制技術的主要優點是使電路的復雜程度大大降低,可靠性增強。現在商業化的非線性控制芯片有英飛凌公司的一種新的CCM的PFC控制器,被命名為ICElPCSOI,是基于一種新的控制方案開發出來的。與傳統的PFC解決方案比較,這種新的集成芯片(IC)無需直接來自交流電源的正弦波參考信號。該芯片采用了電流平均值控制方法,使得功率因數可以達到1.另外,還有IR公司的IRIS51XX系列,基于單周期控制原理,不需要采集輸入電壓,外圍電路簡單。
最后,怎樣提高功率因數校正器的動態響應是當前擺在我們面前的一個難題。
4.2 單級功率因數校正技術的發展趨勢
在20世紀90年代初提出了單級功率因數校正器,主要是將PFC級和DC/DC變換級集成在一起,兩級共用開關管。如圖7所示。它與傳統的兩級電路相比省掉了一個MOSFET,增加了一個二極管。另外,其控制采用一般的PWM控制方式,相對簡單。但是單級功率校正存在一個非常嚴重的問題:當負載變輕時,由于輸出能量迅速減小,但占空比瞬時不變,輸入能量不變,使得輸入功率
大于輸出功率,中間儲能電容電壓升高,此時占空比減小以保持DC/DC級輸出穩定,最終達到一個新的平衡狀態。這樣中間儲能電容的耐壓值需要很高,甚至達到1000V.當負載變重時,情況相反。怎樣降低儲能電容卜的電壓是現在單級功率因數校正研究的熱點。


4.3 常用的功率因數校正芯片
4.3.1 非連續電流模式PFC芯片
IFX(英飛凌)TDA4862、TDA4863
ST L6561、L6562
Fairchield(快捷半導體)FAN7527
TI UC3852、UCC38050
SC SG6561
ON MC33262、MC34262、MC33261
4.3.2 連續電流模式PFC芯片
IFX TDAl6888(PFC+PWM)、
1PCS01(PFC)
ST L498I
Fairchield FA4800(PFC+PWM)
TI UC3854、UCC3817、UCC3818
5 結語
總結和歸納了各種有源功率因數校正技術及電路拓撲,敘述了它們的工作原理,并比較了它們的優缺點。
烜芯微專業制造二極管,三極管,MOS管,橋堆等20年,工廠直銷省20%,4000家電路電器生產企業選用,專業的工程師幫您穩定好每一批產品,如果您有遇到什么需要幫助解決的,可以點擊右邊的工程師,或者點擊銷售經理給您精準的報價以及產品介紹
烜芯微專業制造二極管,三極管,MOS管,橋堆等20年,工廠直銷省20%,4000家電路電器生產企業選用,專業的工程師幫您穩定好每一批產品,如果您有遇到什么需要幫助解決的,可以點擊右邊的工程師,或者點擊銷售經理給您精準的報價以及產品介紹

