負溫度系數NTC熱敏電阻由燒結金屬氧化物制成。它們與溫度的小幅增加成比例地顯示出大的電阻降低。
通過將一個小的測量直流電流(DC)通過熱敏電阻并測量產生的電壓降來計算它們的電阻。


探針族特征圖像
應用
• 溫度測量
• 溫度補償
• 溫度控制
NTC熱敏電阻選擇時的5個基本注意事項
• 溫度范圍
1. 選擇溫度傳感器時,首先要考慮的是應用的溫度范圍。
2.由于NTC熱敏電阻在-50°C至250°C的工作溫度范圍內表現良好,因此非常適合許多不同行業的廣泛應用。
• 準確性
1.在基本傳感器類型中,NTC熱敏電阻實現最高精度的能力在-50°C至150°C范圍內,對于玻璃封裝熱敏電阻最高可達250°C。
2.精度范圍為0.05°C至1.00°C。
• 穩定性
1.在長期運行是目標的應用中,穩定性非常重要。溫度傳感器會隨著時間的推移而漂移,具體取決于材料,結構和包裝。
2.涂有環氧樹脂的NTC熱敏電阻每年可以改變0.2°C,而氣密密封的NTC熱敏電阻每年僅改變0.02°C。
• NTC熱敏電阻封裝
1.包裝要求取決于傳感器將使用的環境。
2.NTC熱敏電阻可根據應用要求定制并封裝在各種外殼中。它們也可以是環氧樹脂涂層或玻璃封裝,以進一步保護。
• 抗噪聲
1.NTC熱敏電阻具有出色的抗電噪聲和抗鉛電阻性能。


NTC熱敏電阻
更多考慮因素
• NTC熱敏電阻具有特定的電氣特性:
1. 當前時間特征
2. 電壓 - 電流特性
3. 電阻 - 溫度特性
• 產品類型和尺寸
1. 熱敏電阻用戶通常會知道在尺寸,熱響應,時間響應以及熱敏電阻配置中的其他物理特性方面需要什么。即使缺少數據,也應該很容易縮小NTC熱敏電阻的選擇范圍,但必須仔細分析熱敏電阻的預期應用。
• 電阻 - 溫度曲線
1. Ametherm數據表包含每種NTC熱敏電阻產品的電阻比與溫度的表格或矩陣。還為特定方程提供系數α和β,以幫助用戶或設計者在溫度精度方面轉換電阻容差,以及計算每條曲線的溫度系數。
2. 可用于制造熱敏電阻的材料種類繁多,但根據尺寸,操作和存儲溫度范圍以及標稱電阻值存在一些限制。
• 標稱阻力值
1. 要考慮的下一個因素是應用程序是需要曲線匹配還是點匹配。這將允許計算給定溫度下所需的標稱電阻值。
Ametherm為其NTC熱敏電阻提供全范圍的標稱電阻值。標準參考溫度為25°C,但買家和設計師可以要求不同的溫度。
2.需要注意的是:如果在產品類型和材料成分的組合中沒有所需的阻力,則必須決定哪個特性優先:產品類型/尺寸,材料偏好或阻力比。
• 耐受性
1. 在查看產品規格表時,Ametherm提供標準公差。例如,盤式或芯片式熱敏電阻通常具有±1%至±20%的零功率電阻分布。
2. 為節省成本,Ametherm建議了與預期用途相關的最廣泛公差規范。

NTC熱敏電阻的類型
• 圓盤和芯片:它們配置有或沒有涂層裸露或鍍錫銅引線。有適合
各種情況的寬阻抗值的熱敏電阻。
• 環氧樹脂:環氧樹脂浸涂在夾套的聚四氟乙烯/ PVC電線之間。它們的小尺寸便于安裝,并且可以點或曲線匹配。
• 玻璃封裝:在處理極端環境條件和穩定性至關重要時的最佳選擇。配置包括
徑向引線或軸向引線熱敏電阻。
• 探頭組件:根據應用要求提供各種外殼。
• 表面貼裝:配置選項包括Bulk,Tape&Reel,雙面和帶鈀銀終端的環繞式。這些熱敏電阻采用鎳屏障制成,可在精密電路中發揮極佳作用。
可能需要的計算公式
α - 常數(%/°C)
電阻溫度系數是零功率電阻隨溫度變化的特定溫度T與熱敏電阻的零功率電阻之比。


α - 常數計算公式
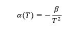
β - 常數(°K)
NTC熱敏電阻的材料常數是其在一個溫度下的電阻與在不同溫度下的電阻相比的度量。Ametherm熱敏電阻的下列公式中使用的參考溫度為298.15°K和348.15°K。


β - 常數計算公式
烜芯微專業制造二極管,三極管,MOS管,橋堆等20年,工廠直銷省20%,1500家電路電器生產企業選用,專業的工程師幫您穩定好每一批產品,如果您有遇到什么需要幫助解決的,可以點擊右邊的工程師,或者點擊銷售經理給您精準的報價以及產品介紹
烜芯微專業制造二極管,三極管,MOS管,橋堆等20年,工廠直銷省20%,1500家電路電器生產企業選用,專業的工程師幫您穩定好每一批產品,如果您有遇到什么需要幫助解決的,可以點擊右邊的工程師,或者點擊銷售經理給您精準的報價以及產品介紹

